Analytics For Us Patent No 8822482 Icotinib Hydrochloride

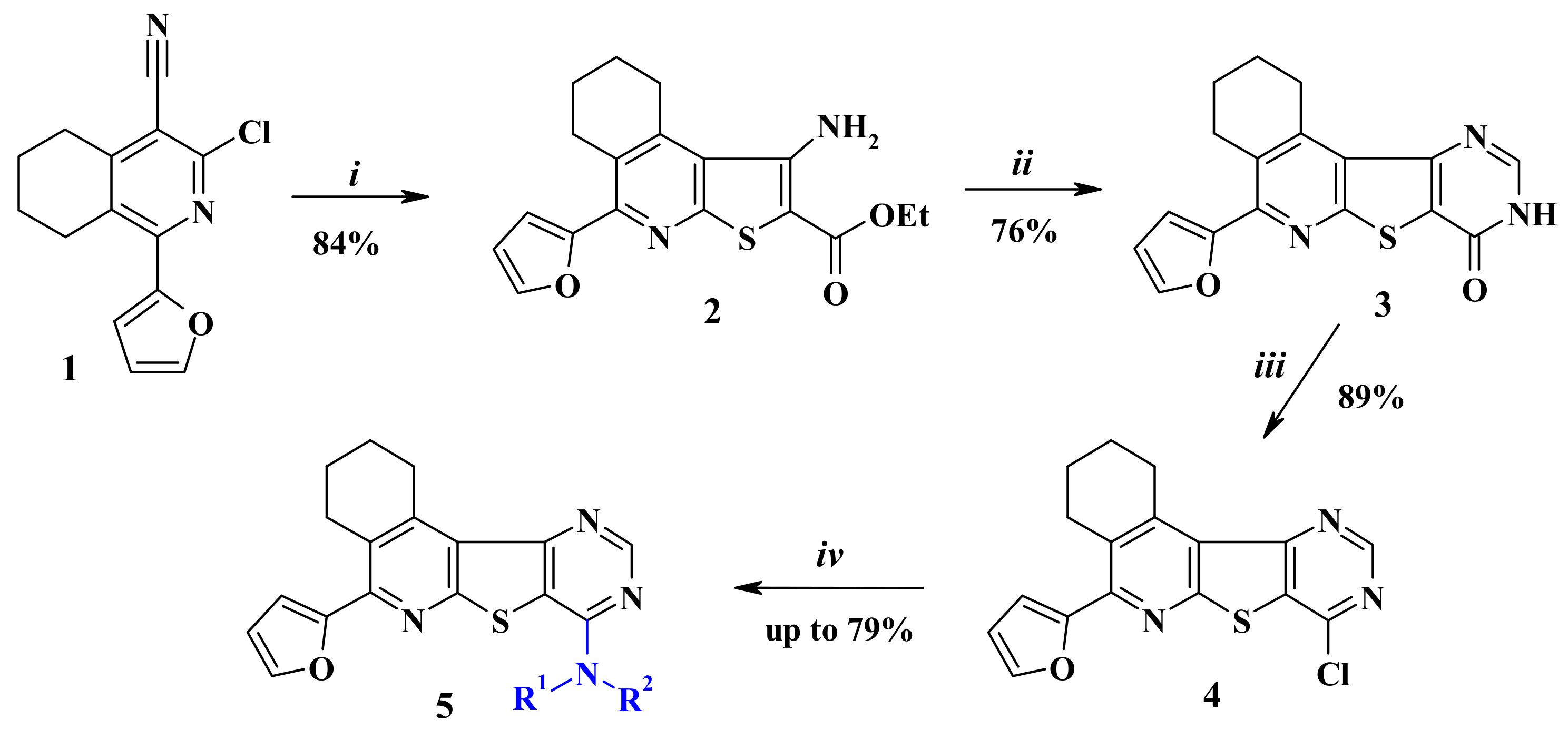
Molecules Free Full Text Synthesis Antitumor Activity
Synthesis Of Cyclohexene The Dehydration Of Cyclohexanol

If Socl2 Reacts With Alcohols Via Sni Why Doesn T Pocl3

Solved Draw The Organic Predict Of The Following Reaction

Re Evaluation Of Oxidised Starch E 1404 Monostarch

Friedel Crafts Acylation

Synthesis Of Novel Push Pull Fluorescent Dyes 7

Chapter 13 Alcohols Phenols And Thiols Ethers And

Homework Chapter 17 Alcohols And Phenols
Xi Chemistry Chapterwise Advanced Study Material Mole

15 2 Lewis Acids And Bases Chemistry

Homework Chapter 17 Alcohols And Phenols
Bischler Napieralski Reaction Wikipedia
Synthesis Of Cyclohexene The Dehydration Of Cyclohexanol

Acid Chloride Formation Thionyl Chloride

Reformatskii Reaction Opinion Chemistry World

Answered Ch3pocl3pyridinech2 Bartleby
Phosphoryl Chloride Wikipedia
Ps5

Draw The Organic And Inorganic Products Fo Clutch Prep

A Production Of Dgr From Guanine Or Guanosine The

Reagents And Conditions I Thiosemicarbazide Pocl3

From The Table Of Available Rfrom The Table Of Available
Synthesis Characterization And Antibacterial Screening Of

Reformatskii Reaction Opinion Chemistry World

Solved 2 Draw The Major Organic Product For Each Of The
Brjac 2011 1 4 April May June By Brjac Issuu

Computational Study On The Synthesis Of 1 Phenyl 3 4 Dihydro

9 46 Draw The Organic Product S Formed When Ch3ch2ch2oh

20 F 1 Dp54424 20f Htm Form 20 F United

Pocl3 Dehydration Organic Chemistry Video Clutch Prep

Synthesis And Utility Of Some N Substituted Benzotriazoles

9 10 Dehydration Using Pocl3 And Pyridine Chemistry

Solved 2 Draw The Organic Products From The Following R
Complete The Following Reaction A B Alcohols Are Converted To Alkenes By Using Poci 3 And Organic Base Explain That Whyc This Is An Effective Method C D E F G
W Acid 2 Organic Chemistry 3110 With Faulkner At

Draw The Major Organic Product Of The Reac Clutch Prep

E1 Vs E2 Comparing The E1 And E2 Reactions Master Organic
Electrophilic Aromatic Substitution Eas Is A Substitution

Alcohol Dehydration Reaction Mechanism With H2so4 Acid Catalyzed
No comments:
Post a Comment