
Nucleophilic Aromatic Substitution The Benzyne Mechanism

Alkyl Halide Reactivity
Organic Chemistry


Dehydration Reaction Organic Chemistry Video Clutch Prep

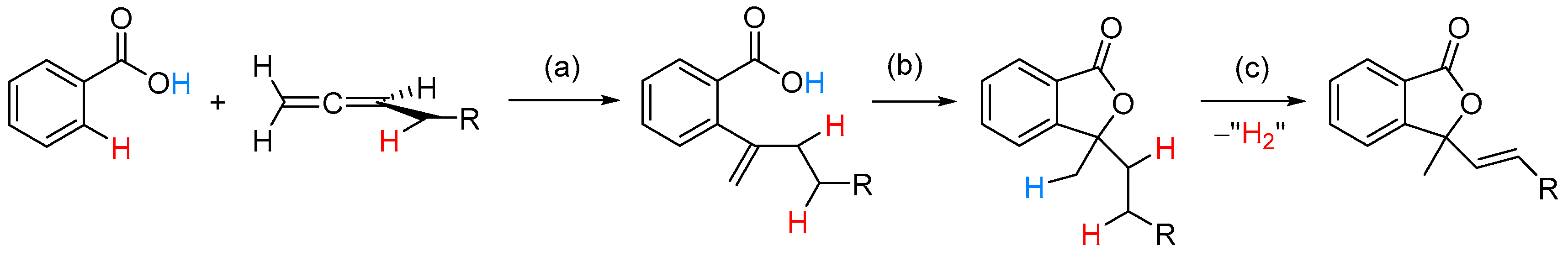
Molecules Free Full Text Synthesis Of Phthalides And A B

Alkyl Halide Reactivity
Draw The Neutral Organic Product For The Following Reaction Show Stereochemistry Clearly

Draw The Product Formed By The Reaction Of Potassium T

Elimination Reactions 2 The Zaitsev Rule Master Organic

For The Following Reaction Choose The Most Likely Reaction

Comparing E2 E1 Sn2 Sn1 Reactions Video Khan Academy

Sn1 Sn2 E1 E2 Chart Big Daddy Flowchart Organic

Nucleophilic Substitution Addition And Elimination
Sn1 Vs Sn2 Summary Video Sn1 And Sn2 Khan Academy

Elimination Reactions Are Favored By Heat Master Organic
Predict The Neutral Organic Product Of The Following Reaction Include Hydrogen Atoms In Your Structure

12 Intro To Substitutions And Eliminations Chemistry
Organic Chemistry

Draw The Structure Of The Product That Is Formed When The

Rearrangement Reactions 1 Hydride Shifts Master

Ch103 Chapter 7 Chemical Reactions In Biological Systems

Solved Draw The Major Neutral Organic Product For Each S
Organic Chemistry

Draw The Neutral Organic Starting Material Clutch Prep

Sn1 Mechanism An Overview Sciencedirect Topics

Solved Draw The Major Neutral Organic Product Obtained I

Olefins From Amines The Hofmann Elimination Reaction And

Sn1 Sn2 E1 E2 Chart Big Daddy Flowchart Organic

27 2 Introduction To Substitution Reactions Chemistry

Introduction To Elimination Reactions The Key Pattern

Intramolecular Substitutions Of Secondary And Tertiary

Alkyl Halide Reactivity

Solved Draw The Neutral Organic Products For The Followin

Solved Draw The Major Neutral Organic Product For Each S

Give The Correct Organic Product For The Following Reaction

E1 Reactions

Major Minor Products 11 11 Organic Chemistry Ncea Level 2 Chemistry Studytime Nz

Organic Chemistry 331 Ch 6 Flashcards Quizlet

Solved Draw The Neutral Organic Products If Both Substit
Zincke Reaction Wikipedia

Organic Chemistry 331 Ch 6 Flashcards Quizlet
No comments:
Post a Comment